Pluviómetro improvisado
Oscar Claramonte ChivaPalabras clave: pluviómetro, lluvia, precipitación.

Oscar Claramonte Chiva
Palabras clave: pluviómetro, lluvia, precipitación.
1.- Introducción
No siempre es necesario tener a mano uno de los muchos tipos de pluviómetros del mercado para poder medir la precipitación. En principio, cualquier recipiente del cual podamos conocer el área de su boca nos bastaría si tenemos la manera de medir la cantidad de agua que contiene, bien directamente trasvasándola a otro recipiente calibrado o calculando matemáticamente el volumen de agua si el recipiente tiene una buena simetría.
Es obvio que existen pluviómetros que evitan la evaporación y nos proporcionan muy buena precisión, pero por diversas circunstancias puede darse el caso de que no dispongamos de uno en un determinado momento y tengamos especial interés en el episodio de lluvias que se avecina.
Muchos tipos de recipientes nos pueden servir para ese propósito, siendo el más sencillo uno que posea la misma superficie en su boca y en su base, y sus paredes sean totalmente verticales ya que en él un milímetro de altura se corresponde con un litro por metro cuadrado. Un recipiente con simetría cilíndrica encajaría en este caso.
Sin embargo, se estudiará el caso del típico cubo de agua de sección circular por ser un caso más general, además de ser un recipiente habitual en los hogares. Así, este caso nos proporcionará conceptos generales que pueden ser aplicables a muchos otros tipos de recipientes en el caso de querer utilizarlos como pluviómetros. Incluso se verá como el recipiente cilíndrico es un caso particular del cubo de agua, más general.
2.- Medida de la precipitación
La unidad de precipitación usual no es más que el volumen de agua recogido a través de una superficie horizontal dividido por el área de dicha superficie. Si se utiliza como unidad de volumen el litro y para la superficie el metro cuadrado, la unidad de precipitación será el l/m2.
Sin embargo, también es corriente encontrar el dato de precipitación en milímetros (mm), que es la altura sobre el suelo que alcanzaría la precipitación caída.
Las dos unidades de medida son equivalentes si tenemos en cuenta que un milímetro de altura sobre una superficie de un metro cuadrado ocupa un volumen de un litro. Es decir, 1 l = 1 mm x 1 m2 , de donde 1 mm = 1 l/m2
3.- El cubo de agua de sección circular.
Este recipiente tiene forma de tronco de cono o cono truncado y el volumen de agua contenido en el adquirirá la misma forma. Es fácil hallar este volumen mediante la fórmula del cono truncado y el problema estaría prácticamente resuelto. Pero para ello se necesita conocer cual es el radio r del disco que forma la superficie del agua, dato que en principio puede ser difícil de medir con suficiente precisión. Por lo tanto, será conveniente expresar dicho radio r en función de la altura del agua h, dato mucho más cómodo y preciso de obtener. La notación que se usará se puede ver en la siguiente figura.
3.1 Cálculo del volumen ocupado por el agua dentro de un tronco de cono.
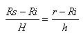
El primer paso será obtener la expresión para el radio r comentada anteriormente. En el corte expuesto en la figura siguiente, se pueden observar dos triángulos rectángulos (uno contenido dentro del otro).

y por semejanza de los triángulos se tiene la igualdad

de donde se obtiene la expresión para el radio r

Ahora, ya podríamos averiguar el volumen de agua al sustituir (1) en la fórmula para el volumen de un tronco de cono que podemos encontrar en cualquier libro de fórmulas y tablas matemáticas, dividirlo por el área de la boca y así obtener los litros caídos por metro cuadrado.
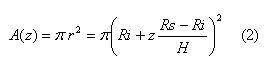
Sin embargo, utilizando el Principio de Cavalieri es fácil hallar el volumen de agua contenida en el cubo. Teniendo en cuenta la expresión (1) (sustituyendo h por cualquier altura z), el área de una sección transversal situada a una altura z es

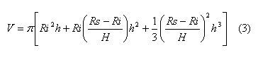
el volumen vendrá dado por la integral

cuyo resultado sustituyendo (2) en ella, es

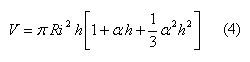
Definiendo un parámetro característico del cubo como

que tendrá unidades de inversa de longitud (m-1 en el Sistema Internacional), la fórmula (3) queda como

3.2 Cálculo de la precipitación recogida (P).
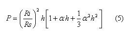
Para ello basta con dividir el volumen de agua calculado (4) por el área de la boca del cubo π Rs2, resultando

Si se toman todos los valores en milímetros, el resultado obtenido tendrá unidades de l/m2 o su equivalente, mm de precipitación.
Observando que en la fórmula (5) existe un término de segundo orden, sería interesante comprobar si es asumible prescindir de el. Es lo que se hará en el siguiente apartado.
3.3.- Aproximaciones.
Tomando como valores típicos para el cubo de agua
Rs= 136 mm
Ri=102,50 mm
H=260 mm
y tomando un valor típico para la altura del agua de h=100 mm, se tienen los siguientes órdenes de magnitud
α ~ 10-3
h ~ 102
α h ~ 10-1
Esto nos indica que prescindir del segundo término entre corchetes en la fórmula (5), que es de primer orden en el producto α h , significaría cometer un error del 10 %, y prescindir del tercer término que es de segundo orden en α h un error inferior al 1%.
Teniendo esto en cuenta, parece razonable prescindir del último término, resultando una fórmula para la precipitación P más sencilla de manejar.

3.4 Ejemplo
Datos del cubo: Rs=136 mm, Ri=102,50 mm, H=260 mm
Aplicando estos datos a las fórmulas (5) y (6) se obtiene para una medición de la altura del agua h=65 mm
P=40.02 l/m2 (resultado exacto)
P=39.94 l/m2 (con la aproximación)
Se puede ver que el resultado obtenido con la aproximación (5) es sólo un 0.2 % inferior al exacto, lo cual está de acuerdo con los órdenes de magnitud calculados anteriormente.
4.- El recipiente cilíndrico
Como se comentó en la introducción, la medida de la precipitación en un recipiente de estas características resulta ser un caso particular del cubo de agua.
En este caso, se tiene Ri=Rs, de forma que el parámetro visto anteriormente

resulta ser nulo, y de (5) se concluye que
P=h
es decir, la precipitación recogida por unidad de superficie viene dada por la altura del agua h.
No te pierdas la última hora de Meteored y disfruta de todos nuestros contenidos en Google Discover totalmente GRATIS
+ Seguir a Meteored