Los agujeros negros primordiales podrían seguir activos y cambiar todo lo que sabemos sobre el universo
¿Es la materia oscura un cúmulo de agujeros negros primordiales? Un hallazgo sobre el universo temprano explica cómo estos objetos evitaron evaporarse al absorber la radiación del Big Bang.

Los instantes iniciales de todo cuanto en existe el universo fueron una caldera de densa energía donde la materia se apretaba. En ese caos nacieron los agujeros negros primordiales, colapsos directos del plasma original tras el Big Bang . Se creía que estas reliquias se desvanecerían rápido, pero el universo temprano guardaba un secreto de resistencia.
Un análisis teórico reciente sugiere que estos objetos no estaban solos en el vacío, sino en un baño térmico. Al devorar la radiación circundante, ganaron masa en vez de perderla, frenando su extinción por completo. Este hallazgo vincula su longevidad con la materia oscura, abriendo una puerta que la ciencia daba por clausurada .
El voraz apetito de los agujeros negros primordiales
A menudo imaginamos estos cuerpos celestes vagando por un vacío negro y silencioso, pero esa imagen dista mucho de la realidad de aquellos primeros segundos. El universo joven era un océano abrazado de radiación, un baño térmico saturado de energía disparada en todas direcciones. Cualquier entidad nacida allí no estaba aislada, estaba sometida a un bombardeo constante.
La investigación plantea que ignorar este contexto ha sido un error de cálculo fundamental , ya que la interacción con ese medio ambiente resulta determinante para su biografía.

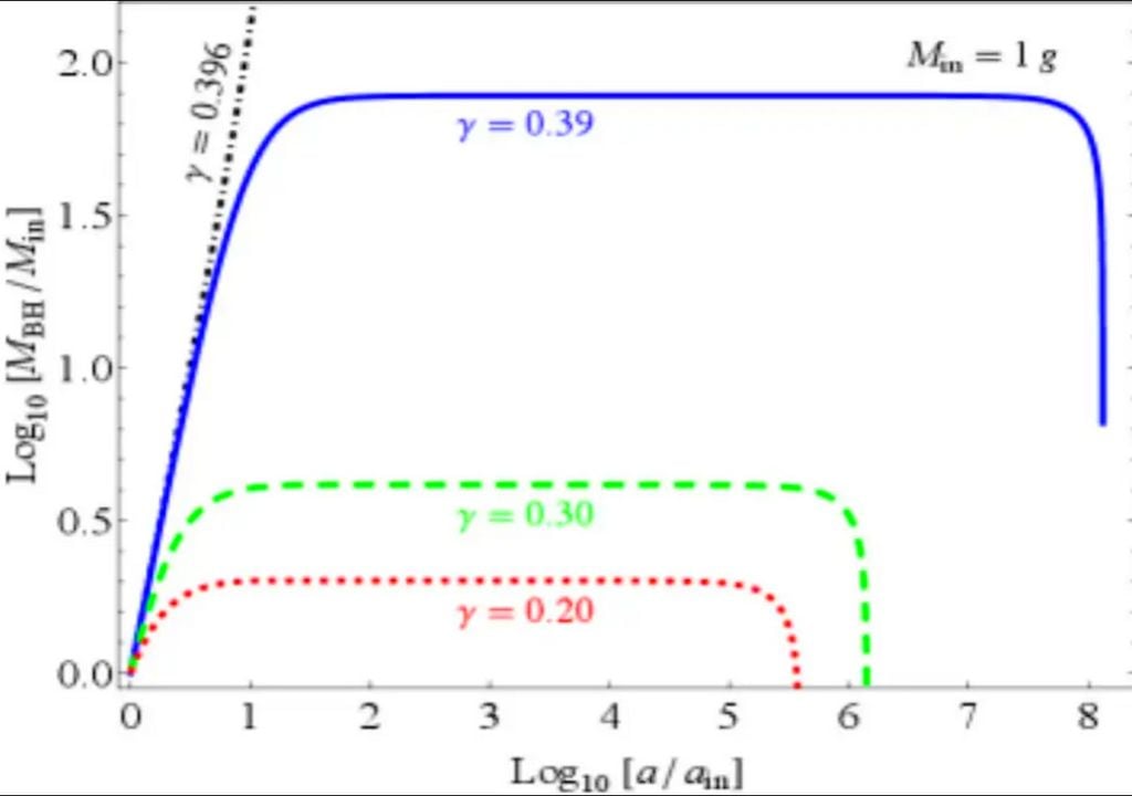
La clave reside en un equilibrio de fuerzas: la evaporación natural frente a la absorción del entorno. Si el agujero negro pierde menos de lo que gana, engorda. Los científicos del estudio detallan su premisa con precisión técnica pero clara: “Estudiamos la evolución de agujeros negros primordiales formados en el universo temprano en presencia de un baño térmico circundante”. Al considerar esta variable, la historia cambia radicalmente. Ya no se trata sólo de cuántos emiten, también de cuántos son capaces de tragar de ese entorno hiperpoblado de partículas.
Bajo condiciones específicas, la termodinámica juega a favor de la supervivencia. En lugar de una pérdida gradual de sustancia, algunos de estos objetos habrían experimentado una fase de acreción, ganando peso gracias al calor circundante. Este proceso de alimentación cósmica habría retrasado su fecha de caducidad , otorgándoles un pasaporte para viajar a través de las eras geológicas del universo mucho más lejos de lo que cualquier modelo anterior había previsto.
Reescribiendo el enigma de la materia oscura
Las implicaciones de este hallazgo tocan directamente uno de los misterios más esquivos de la física moderna. La materia oscura, ese pegamento invisible que evita que las galaxias se despedacen, sigue buscando identidad . Si estos objetos antiguos lograron ordenar la evaporación temprana, su candidatura para explicar este fenómeno gana una fuerza inusitada. El estudio identifica un punto de inflexión, una frontera matemática donde el crecimiento se dispara de forma vertiginosa.
La materia oscura puede ser invisible, pero su influencia está en todas partes.
— NASA en español (@NASA_es) February 17, 2026
A partir de datos obtenidos con @NASAWebb, los científicos han creado uno de los mapas de materia oscura más detallados y de mayor resolución jamás elaborados.
Aprende más: pic.twitter.com/C4qgeW8puk
Los autores han detectado que, superado cierto umbral, el proceso se vuelve imparable. Así lo describe en sus conclusiones: “Encontramos una eficiencia de colapso crítico […] por encima de la cual la masa del PBH crece sin límite” . Esto sugiere la existencia de escenarios donde la expansión del universo no basta para frenar su glotonería. Incluso en casos más moderados, multiplicar su masa inicial por cuatro podría extender su longevidad en dos órdenes de magnitud, permitiéndoles llegar hasta nuestros días.
Este nuevo abanico de posibilidades obliga a revisar los mapas de exclusión que los físicos han dibujado durante décadas. Rangos de masa que se consideraban imposibles para la materia oscura ahora podrían ser viables. Los investigadores son tajantes al respecto: “Nuestros resultados desplazan significativamente el espacio de parámetros en el que los PBH pueden explicar la totalidad de la materia oscura”. Puertas que la ciencia creía cerradas podrían estar, en realidad, entornadas.
Un legado térmico diferente
La supervivencia prolongada de estos gigantes diminutos altera también la huella térmica que deja al morir. Si un agujero negro se evapora tarde, lo hace en un cosmos que ya se ha estirado y enfriado. La inyección de energía resultante es mucho menos traumática para el entorno que si hubiera ocurrido en las etapas tempranas y densas. Este retraso en la liberación de energía modifica la temperatura de recalentamiento del universo , suavizando su impacto en la formación de estructuras posteriores.

El documento señala que las restricciones observacionales actuales, como las impuestas por la radiación de fondo de microondas, deben reinterpretarse bajo esta nueva luz. Al vivir más tiempo, la "explosión" final de estos objetos se diluye en un volumen de espacio mucho mayor. Esto significa que muchos de los límites que descartaban su existencia podrían ser menos estrictos de lo que pensábamos, permitiendo que la teoría encaje mejor con lo que observamos actualmente en el cielo profundo.
Aunque la comunidad científica deberá examinar con lupa estas afirmaciones, la propuesta es de lo más audaz. Estamos ante una nueva forma de entender la dinámica de los primeros instantes. Si se confirma que el baño térmico original alimentaba a estas bestias gravitatorias, estaríamos ante una pieza fundamental para completar el rompecabezas de la composición del universo, resolviendo dudas que llevan casi un siglo quitando el sueño a los astrónomos.
Referencia de la noticia
Aque, Md. Riajul; Karmakar, Rajesh; Mambrini, Yann. Cuando los agujeros negros primordiales absorben durante el universo temprano . Preimpresión arXiv:2601.16717v1 (2026).
No te pierdas la última hora de Meteored y disfruta de todos nuestros contenidos en Google Discover totalmente GRATIS
+ Seguir a Meteored